5.3.3 Detection Efficiency

Two procedures were used to determine the detection efficiency of the microsphere plates in the JUSO setup as well as the overall detection efficiency.

For the first procedure the ion beam had to be directly deflected into the TOF tube. As the angle between the TOF axis and the nominal beam axis was only 10 \ensuremath{°} this could be done using the pair of deflection plates closest to the sample. By varying the postacceleration voltage of the TOF tube the energy of the particles could be adjusted over a large range without having to change the settings of the sector magnet. Assuming a constant beam intensity an energy range of \( E_{0}\pm \)2keV could be covered with \( E_{0} \) being the energy of the primary beam. However it was shown that not all particles would hit the detector if the beam gets decelerated in the postacceleration stage due to the beam divergence combined with the miss alignment of the beam [14]. Thus the detection efficiency would be underestimated for energies below \( E_{0} \) (Figure 5.3).

Figure 5.3: Estimated detection efficiencies measured by varying the post acceleration voltage at a constant primary energy. The measured beam intensity is plotted versus. the final energy per molecule (primary energy + postacceleration). As the primary beam intensity remains constant the measured beam intensities are an estimation for the relative detection efficiencies. Using different primary energies the measured values agree only for particles accelerated into the post acceleration stage. The arrows show where the applied postacceleration voltage was zero. On the left side of the arrows particles were decelerated when entering the postacceleration stage and did probably hit the aperture plates in the TOF tube.
\resizebox*{!}{0.45\textheight}{\includegraphics{msp_deteff_deflection.eps.eps}}

It was concluded that varying the postacceleration voltage only produces valid results for final particle energies higher than the primary energy.

The main problem with the method described above is that the primary beam is not aligned with the TOF tube axis. The only particle source with perfect alignment in the setup is the investigated surface itself. Using the surface also allows to use the atoms instead of molecules for the calibration. Primary atom beams were too weak to be used with the method described above.

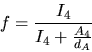
For detection efficiency measurements using the surface a low energy (molecular) beam is used. The molecules dissociate during the interaction with the surface. At the selected energy a constant but unknown fraction of atoms \( p_{ai} \) get negatively ionized. The neutral part of the beam entering the TOF tube serves as an intensity reference. By applying different positive postacceleration voltages (such that the particles get accelerated) the ion peak in the TOF spectra varies in size and position depending on the energy of the ions after postacceleration. The geometry of the aperture in front of the postacceleration stage ensures that the particle flux into the tube is limited by this aperture and does not depend on the value of the (positive) post acceleration voltage. The peaks in the TOF spectra were then fitted using the function described in Chapter 5.3.4. Usually four spectra (s\( _{1} \) to s\( _{4} \)) were used for the further calculations with s\( _{1} \) the spectra with the lowest and s\( _{4} \) the spectra with the highest post acceleration voltage. \( A_{n} \) denotes the measured fraction of neutral atoms, \( I_{n} \) the measured fraction of negatively ionized atoms of the n\( ^{th} \) spectra (\( A_{n} \) + \( I_{n} \) = 1, the possible small positive ion fraction was neglected). With \( d_{A} \) denoting the unknown detection efficiency for neutral atoms and \( d_{n} \) the detection efficiency for postaccelerated ions in the n\( ^{th} \) spectra the true ionization efficiency \( f \) of the surface may be written as:


\begin{displaymath}
f=\frac{\frac{I_{n}}{d_{n}}}{\frac{I_{n}}{d_{n}}+\frac{A_{n}}{d_{A}}}\; ;\quad n=1..4
\end{displaymath} (5.4)

Assuming that the detection efficiency for the most accelerated ions in spectra 4 is close to one (\( d_{4} \)\( \approx \)1) , the equation with n=4 simplifies to:

\begin{displaymath}
f=\frac{I_{4}}{I_{4}+\frac{A_{4}}{d_{A}}}
\end{displaymath} (5.5)

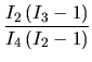
Using \( A_{n} \) + \( I_{n} \) = 1 and \( d_{4}\approx 1 \) the system 5.4 is solved for \( d_{1} \) to \( d_{4} \):


$\displaystyle d_{1}$ $\textstyle =$ $\displaystyle \frac{I_{1}\left( I_{3}-1\right) }{I_{4}\left( I_{1}-1\right) }$ (5.6)
$\displaystyle d_{2}$ $\textstyle =$ $\displaystyle \frac{I_{2}\left( I_{3}-1\right) }{I_{4}\left( I_{2}-1\right) }$ (5.7)
$\displaystyle d_{3}$ $\textstyle =$ $\displaystyle \frac{I_{3}}{I_{4}}$ (5.8)
$\displaystyle d_{4}$ $\textstyle \approx$ $\displaystyle 1$ (5.9)

The value of \( d_{n} \) represents the relative detection efficiency for ions at the energy \( E_{n}=E_{prim}+E_{post_{n}} \) with \( E_{prim} \) denoting the energy of a primary atom and \( E_{post_{n}} \) the energy gain due to the postacceleration used when acquiring the spectra \( s_{n} \). All results for \( d_{n} \) were verified in a second peak fitting run with appropriate weighting of the energy spectra according to the calculated detection efficiencies. In this second run where \( I_{n} \) and \( A_{n} \) were replaced by the true (corrected) charge state fractions, all \( d_{n} \) should evaluate close to one. This was always the case within an error of a few percent. Detection efficiencies measured using the two procedures are shown in Figure 5.4.

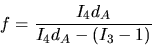
Furthermore, assuming no significant difference in the MSP detection efficiency between neutral and negatively charged particles (see below for discussion) in the investigated energy range the detection efficiency \( d_{A} \) may be extrapolated from the detection efficiencies for ions. The value of \( d_{A} \) then allows the estimation of the true ionization efficiency \( f \) of the surface at the energy \( E_{prim} \) using:


\begin{displaymath}
f=\frac{I_{4}d_{A}}{I_{4}d_{A}-\left( I_{3}-1\right) }
\end{displaymath} (5.10)

The efficiencies vary considerably depending on the procedure used. Because of the better geometric alignment, the values measured using the reflected beam are considered to be more accurate.

Figure 5.4: Detection efficiencies for hydrogen and oxygen for two sets of MSP (filled symbols: 'old' used MSP, open symbols: 'new' MSP). The large squares with the error bars were measured using a beam reflected from the sample and the small points were obtained by deflection of the primary beam. The relative detection efficiency at 3200eV was arbitrarily set to one. The thin solid line was measured using the 'old' MSP some years ago and taken from a compilation made by [14].
\resizebox*{!}{0.8\textheight}{\includegraphics{oh_deteff.eps}}

The values measured for hydrogen on the 'new' MSP seem to agree well (top plate in Figure 5.4). The efficiencies measured using the primary beam and the 'old' MSP on the other hand do not seem to be correct. When calculating ionization efficiencies on the same surface at the same energy from measurements taken with the 'old' and the 'new' MSP large discrepancies arise. When correcting the measurements taken with the 'old' MSP with the detection efficiency taken from [14] the ionization yields agree much better. A possible cause of this difference might be mechanical misalignment of the TOF tube. The TOF tube is attached by bellows to the target chamber and might therefore have been accidently moved. The data measured using the 'old' MSP were corrected by the efficiencies taken from [14], the data measured with the 'new' MSP were corrected by the detection efficiencies measured using the reflected beam.

The values measured for oxygen for the 'old' MSP using the primary and a reflected beam agree pretty well. But the detection efficiencies taken from [14] (line in bottom plate in Figure 5.4) measured one year ago were significantly better although it was already concluded in [14] that this efficiency curve was wrong. The differences might again be due to a mechanical displacement of the TOF tube, or the MSP might have deteriorated due to measurements done meanwhile. Interestingly even the 'new' MSP did not achieve the performance measured one year ago on the 'old' MSP. Unfortunately no data using a reflected oxygen beam is available. The oxygen data measured using the 'old' MSP was corrected using detection efficiencies measured using a reflected beam, data measured using the 'new' had to be corrected by detection efficiency data measured using a deflected primary beam as there is no data from a reflected oxygen beam available.

The detection efficiency for carbon ions was only measured using the primary beam deflected onto the 'old' MSPs. The measured detection efficiency was proportional to \( E^{3} \) with \( E \) denoting the primary energy. There were doubts that these values represent the true detection efficiency because they were very similar to the efficiencies measured with H\( ^{+} \) primary beam that were found to be inaccurate and also because the efficiencies for carbon were expected to be somewhere in between those of hydrogen and oxygen. Thus for carbon the detection efficiency of oxygen was used with twice as large error bars to account for the uncertainties.

Another source of error might be the different detection efficiencies for negative ions, positive ions and neutral atoms [22,23]. The detection efficiency for negative ions is higher than the efficiency for neutral atoms especially at lower energies. For the lowest energy used with oxygen (500eV per atom) the difference might be up to 30% and would lead to an overestimation of the negative ion fraction. As the detection efficiency is not well known at these energies anyway the influence of the charge state on the detection efficiency was neglected.

March 2001 - Martin Wieser, Physikalisches Institut, University of Berne, Switzerland